タカギ公式アプリ 「マイページ」限定プレゼントキャンペーン当選者発表!
たくさんのご応募ありがとうございました。
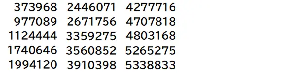
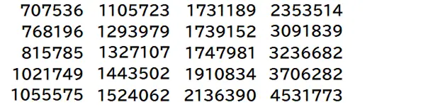
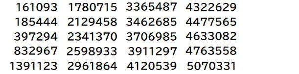
ご当選者(お客様№)を発表いたします!
※賞品の発送、ポイントの付与は1月中旬~下旬を予定しております
※ポイント付与時にアプリからログアウトしている場合、ポイント付与ができません。アプリのログイン状況のご確認をお願いいたします。
次回のキャンペーンもお楽しみに!
アプリのダウンロードがまだの方はぜひダウンロードしてお待ちください♪

